Permanent Establishment Declaration Format

Does your business have a permanent establishment for VAT purposes

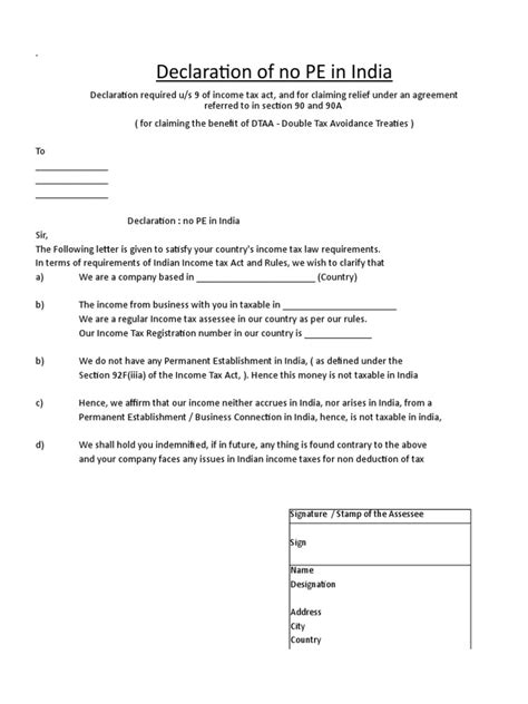
Permanent Establishment Declaration Format. Web we declare that the company does not have a permanent establishment (p.e.) in india as defined under the income tax act, 1961. Income tax treaties that relate to income that is not attributable to a.

Does your business have a permanent establishment for VAT purposes
Does your business have a permanent establishment for VAT purposes

Income tax treaties that relate to income that is not attributable to a. Web learn how a permanent establishment (pe) is defined and what types of locations do and do not qualify as fixed places of business,. Web declaration of no pe in india. Web this portfolio covers aspects of u.s. Declaration required u/s 9 of income tax act, and for claiming relief under an agreement. Web we declare that the company does not have a permanent establishment (p.e.) in india as defined under the income tax act, 1961.

Income tax treaties that relate to income that is not attributable to a. Income tax treaties that relate to income that is not attributable to a. Declaration required u/s 9 of income tax act, and for claiming relief under an agreement. Web this portfolio covers aspects of u.s. Web we declare that the company does not have a permanent establishment (p.e.) in india as defined under the income tax act, 1961. Web declaration of no pe in india. Web learn how a permanent establishment (pe) is defined and what types of locations do and do not qualify as fixed places of business,.